منو سایت

گرما

گرما شاید انرژی ای است که بیشترین تاثیر را بر زندگی ما انسان ها گذاشته است. این انرژی کاربردی از هزاران سال پیش در ساخت ابزار های جنگی همچون شمشیر های آهنی و فولادی تا امروز در بخش غذا و نوشیدنی ای که هر روز با آن سر و کار داریم و در بخش های صنعتی همچون صنعت هوا فضا نقش مهم و ضروری ای را ایفا میکند . صنعت ذوب آهن نیز همانطور که از نامش پیداست از اصلی ترین مصرف کننده های گرما است . گرمایش صنعتی به صورت کلی یعنی ، استفاده از گرما برای ایجاد چیزی بهتر و به صورت دقیق تر یعنی انرژی گرمایی که مستقیماً برای آماده سازی یا پردازش مواد برای تولید استفاده می شود. فرآیندهای صنعتی حدود 74 درصد از انرژی جهان را معمولاً به صورت گرما مصرف می کنند. استفاده از انواع کوره ها برای ذوب انواع فلزات نیاز مبرمی به انرژی گرمایی دارد . اما تفاوت انواع کوره در نحوه ی تولید انرژی گرمایی و میزان مصرف آن چیست ؟ کدام کوره ها دوست محیط زیست هستند و آسیب کمتری به آن میزنند ؟ راندمان کدام کوره بالاتر است ؟ بهتر است برای پاسخ به این سوالات اول با انواع کوره آشنا شویم

انواع کوره

کوره ی فسیلی

این کوره ها از سوخت های فسیلی (عمدتا گاز) برای ایجاد گرما و ذوب فلزات استفاده -میکنند.کوره های گازی متکی به گاز شهری هستند و راندمان بسیار پایینی دارند . از طرفی یکی از اجزا سه گانه مثلث آتش،اکسیژن است. اکسیژن با فلز ترکیب شده و باعث ایجاد اکسید فلز وبالتبع آن کاهش درصد خلوص فراورده شود.

کوره ی برقی

این کوره ها از جریان برق برای تولید گرما استفاده میکنند و از مزایای آن میتوان به راندمان بالا و دقت بسیار زیاد و خلوص بالاتر فراورده اشاره کرد این کوره ها آسیبی به محیط زیست وارد نمیکنند و در عرض چند دقیقه آماده به کار میشوند و میتوان از نیروگاه های شخصی یا شبکه ی برق سراسری تغذیه شوند .

کوره ی تنگستنی

عملکرد مشابه لامپ های تنگستنی (100 وات رشته ای) که با عبورجریان برق از تنگستن گرما تولید و از طریق همرفت و تشعشع به جسم مورد نظر میرسد از مزایای این کوره ها درصد خلوص بالا فراورده و راندمانی مطلوب اما پرهزینه در زمان ساخت هستند .از معایب آن دشواری اجرای این سیستم در خطوط تولید طولی است

کوره ی اتصالی

این کوره ها مشابه جوشکاری عمل میکند و با گذراندن جریان بالا از رسانای مورد نظر باعث گرم شدن رسانا میشود . در کوره ی اتصالی رابط هایی مانند الکترود جوشکاری نیاز است. این کوره ها برای فلزاتی با ضخامت بالا پاسخ گو نیستند .

کوره ی القایی

این کوره های از القای گرما به صورت الکترومغناطیس استفاده میکنند که در ادامه به صورت جزئی تر به بررسی آن ها می پردازیم.

اجزای کوره القایی

بخش های اصلی کوره القایی شامل بوته، واحد منبع تغذیه، آرایش شارژ، سیستم خنک کننده، سیستم کنترل فرآیند و تجهیزات استخراج دود می باشد.

بوته

این یک ظرف نارسانا است که بار فلزی را که باید ذوب شود نگه می دارد. اطراف آن توسط سیم پیچی از سیم مسی احاطه شده است که نقش مهمی در فرآیند القاء دارد.

آرایش شارژر

این سیستم وظیفه وارد کردن مواد اولیه به بوته را بر عهده دارد. این تضمین می کند که بار فلزی به درستی بارگیری شده و در داخل بوته برای ذوب کارآمد توزیع شده است. سیستم کنترل فرآیند: این سیستم پارامترهای مختلف فرآیند ذوب مانند دما، توان ورودی و سرعت ذوب را نظارت و کنترل می کند. این تضمین می کند که فرآیند ذوب در شرایط بهینه انجام می شود و به حفظ کیفیت فلز مذاب کمک می کند.

واحد منبع تغذیه

این واحد از ترانسفورماتور، اینورتر و بانک خازن تشکیل شده است. ترانسفورماتور ولتاژ جریان متناوب (AC) را تا سطح مناسب برای ذوب فلز بالا می برد. اینورتر جریان متناوب را به جریانی با فرکانس بالا تبدیل می کند که برای گرمایش القایی کارآمد ضروری است. بانک خازن به تثبیت منبع تغذیه و بهبود ضریب توان کمک می کند.

تجهیزات استخراج دود

در طی فرآیند ذوب، گازها و دودهای مختلفی تولید می شود. این تجهیزات این گازهای گلخانه ای را جمع آوری و استخراج می کند و محیط کاری تمیز و ایمن را تضمین می کند. همچنین به کاهش اثرات زیست محیطی کوره کمک می کند.

مبانی گرمایش به وسیله ی القای الکترو مغناطیس

اصول نظری ایجاد گرما در اجسام رسانا به وسیله ی نیروی مغناطیسی بر دو قانون فیزیکی اهم و لنز استوار است . قانون لنز بیان میکند که اگر یک هادی در میدان مغناطیسی متغیر قرار بگیرد ولتاژ به صورتی در آن القا میشود که جریان حاصل از آن در جهت مخالف با منبع مغناطیسی باشد و به بیان دیگر آن را خنثی کند. از طرفی بر اساس قانون اهم نیز اگر اختلاف ولتاژدر یک رسانا پدید آید متناسب با مقاومت الکتریکی آن جریانی از دو سر آن خواهد گذشت و این فرایند مصرف انرژی به صورت گرما ایجاد خواهد نمود .

... ... ...

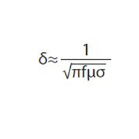
از منظر دیگر میبایست تاثیر فرکانس آن میدان مغناطیسی متغیر که سبب القای ولتاژ در رسانا میشود را در نظر گرفت عمق نفوذ جریان الکتریکی نیز طبق رابطه ی روبرو به دست می آید .

ولتاژ با فرکانس f در جسمی با ضریب رسانندگی الکتریکی delta و ضریب نفوذ پذیری مغناطیسی mu تا چه عمقی از رسانا را میتواند درگیر جریان الکتریکی نماید . طبق این فرمول هر چه قدر فرکانس افزایش یابد سطح موثر رسانا کاهش خواهد یافت این پدیده به نام اثر پوستی مشهور است فارغ از نوع کوره ی القایی و فرکانس کاری عنصر مورد نظر درون آن، کوره ی القایی میدان مغناطیسی متغیر با زمان را تولید میکند این میدان در جسم مورد نظر ولتاژ را القا میکند و جهت آن مخالف با منبع مغناطیسی است لذا در جسم رسانا ، جریان الکتریکی در مقدار موثری از سطح که عمق نفوذ آن را تعیین میکند و رابطه ی عکس با فرکانس دارد جاری میشود با توجه به مقاومت الکتریکی هادی انرژی به گرما در آن تبدیل خواهد شد در طول زمان کار کوره القایی می بینیم که ابتدا سطح عنصر گرم میشود و با گذشت زمان بیشتر گرما به عمق عنصر نفوذ میکند

...

انواع کوره القایی

کاربرد کوره القایی در صنعت

کوره های ذوب القایی نرخ ذوب سریع را با حداکثر بازده ارائه می دهند و کاربرد های بسیاری در صنعت دارند

ذوب فلزات آهنی

آهن پرکاربردترین فلز در بین تمام فلزات در سراسر جهان است. استحکام بالا و قیمت پایین وجود تجهیزات فولادی را تقریباً در هر صنعتی ضروری می کند. کوره های القایی می توانند هر فرآیند ریخته گری، گرمایش یا نگهداری را در بالاترین سطح ممکن از نظر کیفیت برای آلیاژهای آهنی انجام دهند

ذوب فلزات غیرآهنی

کوره های القایی را می توان به عنوان بهترین گزینه برای ذوب بسیاری از فلزات غیرآهنی معرفی کرد. عدم اکسیداسیون مذاب آلومینیوم، کنترل حرارت و توزیع یکنواخت حرارت به ذوب ضایعات مس و همچنین سهولت ذوب فلز روی برای استفاده در فرآیندهای گالوانیزه و ذوب کاتدی، تنها بخش کوچکی از قابلیت‌های این کوره‌ها است

آلیاژسازی

استفاده از کوره های القایی در فرآیندهای آلیاژسازی به دلیل کیفیت ذوب بالا بسیار رایج است. عدم تماس مذاب با عوامل احتراق، قابلیت کنترل دما، انحلال بسیار کم گاز، قابلیت تنظیم و یکنواختی بالای ترکیب شیمیایی مذاب، همگی باعث بهبود کیفیت مذاب آلیاژ در این کوره ها شده است

ریخته گری دقیق

ذوب القایی به طور گسترده در ریخته گری دقیق استفاده می شود. کوره های ذوب القایی برای ریخته گری دقیق فلزات گرانبها و سوپرآلیاژها ایده آل هستند

ذوب سیلیکون

تجهیزات القایی را می توان برای ذوب سیلیکون برای کاربردهای مختلفی مانند تولید نیمه هادی ها و ساخت پنل های خورشیدی که در صنعت الکترونیک بسیار مهم هستند، استفاده کرد. کوره های القایی گرما را به طور مستقیم یا غیرمستقیم به سیلیکون مذاب منتقل می کنند و امکان تولید سیلیکون در مقیاس بزرگ را فراهم می کنند

ذوب فلزات کمیاب

استفاده از کوره های القایی در صنعت متالورژی به فلزاتی مانند آهن، آلومینیوم و مس محدود نمی شود. از کوره های القایی نیز می توان برای تولید فلزات واکنش پذیر، فلزات کمیاب، تیتانیوم، سرب، منیزیم، اورانیوم و کلسیم استفاده کرد

ذوب فلزات گرانبها

تولید سیستم های ذوب تمیز و کارآمد برای فلزات گرانبها مانند پالایش، ذوب ضایعات و تولید جواهرات یکی از مهمترین کاربردهای کوره های القایی است. بدیهی است که در فرآوری فلزات گرانبها حتی از دست دادن مقدار کمی از آن بسیار پرهزینه است . بنابراین با استفاده از فناوری ذوب القایی می توان راندمان بازیافت فلزات را افزایش داد و هزینه های جانبی در فرآیند ذوب فلزات گرانبها را کاهش داد

بازیافت و پالایش فلزات

ذوب القایی برای بازیافت انواع ضایعات فلزی، حتی ضایعات سبک مانند آلومینیوم، ایده آل است، زیرا فرآیندی بدون شعله با حداقل اکسیداسیون است. علاوه بر این، به دلیل وجود میدان مغناطیسی، اختلالاتی در داخل مذاب ایجاد می شود که منجر به همگن شدن آن می شود. بنابراین کوره های القایی می توانند نقش مهمی در کاهش آلودگی های محیطی و افزایش بهره وری انرژی داشته باشند

عملیات حرارتی

عملیات حرارتی به منظور رساندن خواص فیزیکی و مکانیکی فلزات به سطح مطلوب، نقش اجتناب‌ناپذیری در صنعت دارد. امروزه استفاده از سیستم های القایی در عملیات حرارتی فلزات مانند سختی القایی، تمپرینگ، آنیلینگ و غیره بسیار توسعه یافته است. زیرا علاوه بر ایجاد حداقل آلودگی نسبت به سایر روش ها باعث افزایش سرعت عمل شده و کنترل بهتری بر سطح دما دارد

گرمایش گرافیت در دمای بالا

در برخی از مواد غیر فلزی مانند گرافیت و کاربید سیلیکون، القای الکترومغناطیسی باعث گرم شدن می شود. بنابراین می توان از این روش موثر برای گرم کردن گیاهان گرافیت و کنترل دما به منظور دستیابی به حداکثر بازده استفاده کرد

انجماد جهت دار

برای ساخت پره های توربین تک کریستالی یا انجماد جهت دار و همچنین تولید سیلیکون با خلوص بالا و تک کریستالی، گرمایش با دقت بالا و قابل کنترل در مناطق مختلف مورد نیاز است. به دلیل انعطاف پذیری بالا در اجرای الگوهای حرارتی خاص، سیستم های القایی بهترین گزینه برای گرمایش هستند

مزایای استفاده از کوره القایی

خلوص زیاد در تولید فراورده ها

عدم وجود قوس الکتریکی در کوره القایی امکان تولید فولاد با حداقل مقدار کربن و گازهای مسدود شده را فراهم می کند. این امر منجر به تولید فولاد و آلیاژهای باکیفیت و خالص می شود.

سرعت ذوب سریع

کوره های القایی دارای دماهای کنترل شده و راندمان حرارتی بالا هستند که ذوب سریع را ممکن می کند. این بدان معناست که می توان حجم بالایی از فلز را در مدت زمان بسیار کوتاهی ذوب کرد و در عین حال کیفیت فلزات را حفظ کرد

آلودگی محیطی کمتر

کوره های ذوب القایی تأثیر کمی بر محیط زیست دارند. آنها کمترین صدا را تولید می کنند و فرآیند ذوب بدون خروج غبار یا گاز تمیز است. این باعث می شود آنها برای هر فضای کاری مناسب باشند و به کاهش آلودگی محیط زیست کمک کنند.

راندمان بالا

راندمان کوره های القایی در مقایسه با دیگر کوره های صنعتی بسیار بالاتر و در کاهش هزینه ها بسیار موثر است